home

Formula 4rchives

Basic Equations

linear
Linear Graph

Linear Equations

𝒚 = 𝒎𝒙 + 𝒃
𝒎 = gradient and 𝒃 = constant (y-intercept)

How to find 𝒎 and 𝒃:

• 𝒃 is the point where the graph meets the y-axis (or when x=0).

• 𝒎 =
Rise(𝒚) Run(𝒙)
linear example
Eg.1 Linear

Example:

Eg.1: 𝒚 = 1/2𝒙 + 2

• Gradient =
Rise(𝒚) = 1 Run(𝒙) = 2
= 1/2

• y-intercept: line cuts through the y-axis at (0,2)
Solving without graph: sub x = 0, y = 1/2(0) + 2 = 2, y-int: 2

linear example
Quadratic Graph

Quadratic Equations

𝒚 = 𝒂𝒙2 + 𝒃𝒙 + 𝒄
𝒄 = constant (y-intercept)

How to find important points:

• Gradient can't be found due to the graph being a curve.

• 𝒄 (y-intercept): Find it the same way as mentioned above. (Sub x = 0)

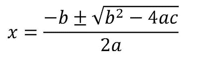
• x-intercept:

- Step 1, sub y = 0.

- Step 2a, factorise equation if possible and find x (example shown later...), or....

- Step 2b, use the formula below:

quadratic formula

• Vertex (turning point):

- Step 1, convert equation to vertex form,
𝒚 = 𝒂𝒙2 + 𝒃𝒙 + 𝒄 = 𝒂(𝒙 - 𝒉)2 + 𝒌
𝒉 = -𝒃/2𝒂
𝒌 = -(𝒃2 - 4𝒂𝒄)/4𝒂

- Step 2, Vertex = (𝒉,𝒌)

Examples:

quadratic example 1
Eg.1: Quadratic

Eg.1: 𝒚 = 𝒙2 - 4

• x-intercept (factorisation method):
When y = 0,
0 = 𝒙2 - 4
0 = (𝒙 + 2)(𝒙 - 2)
𝒙 + 2 = 0 or 𝒙 - 2 = 0
𝒙 = -2 or 𝒙 = +2
x-intercept = (2,0) or (-2,0).

• Vertex:
𝒉 = -0/2 = 0;
𝒌 = -(02 - 4x1x(-4))/4x1 = -4
Vertex = (𝒉,𝒌) = (0,-4).



quadratic example 2
Eg.2: Quadratic

Eg.2: 𝒚 = 2𝒙2 - 4𝒙 - 3

• x-intercept (formula method):
When y = 0,
0 = 2𝒙2 - 4𝒙 - 3
*you can't factorise to get x as a rational number, so using the formula...

𝒙 =
-4 ± √42 - 4(2)(3) 2(2)

𝒙 ≈ +2.581 or 𝒙 ≈ -0.581
x-intercept = (+2.581,0) or (-0.581,0).

• Vertex:
𝒉 = -(-4)/2(2) = 1;
𝒌 = -((-4)2 - 4x2x(-3))/4x2 = -5
Vertex = (𝒉,𝒌) = (1,-5).